Make-or-Buy-Entscheidung Auftragsfertiger oder eigene additive Fertigungsanlage
Ab wann ein Auftragsfertiger teurer wird als eine eigene additive Fertigungsanlage ist schwer zu eruieren. Ein unabhängiges Beratungshaus bringt Licht in diese Make-or-Buy-Entscheidung.
Anbieter zum Thema

Der Einstieg in die Additive Fertigung (AM) ist für viele Unternehmen speziell im Mittelstand immer noch mit offenen Fragen und Herausforderungen verbunden. Dabei ist eine der zentralen Fragestellungen, ab wann sich die Investition in eine eigene additive Fertigungsanlage rentiert. Um einen tieferen Einblick in die Preisstruktur und Kostenkalkulation der Additiven Fertigung zu geben, hat die Beratungsfirma Ampower eine Studie zum Thema Make-or-Buy–Entscheidung veröffentlicht.
Zurzeit besitzen die Einkaufsabteilungen und Entscheider im Unternehmen nur sehr begrenzte Kenntnisse über die Preisgestaltung der neuen Fertigungsverfahren. Es lohnt sich aber, die Kostenstruktur näher zu betrachten. Insbesondere, um auf nachhaltige Kalkulationsmodelle zurückgreifen zu können. Das Kostenmodell für die Laser- und Elektronenstrahltechnik zeigt, dass viele Parametern die Fertigungskosten beeinflussen und damit eine zuverlässige Kalkulation erheblich erschweren. Dabei unterscheidet sich die Gewichtung der Kosten in der Aufteilung deutlich. Die Maschinenkosten nehmen in beiden Verfahren knapp unter 50 % ein.
Grosse Unterschiede in den Materialpreisen
Die Analyse etablierter Fertigungsdienstleister im deutschsprachigen Raum zeigt eine erhebliche Preisspanne in den angebotenen Marktpreisen über alle angefragten Materialien hinweg. Im Extremfall reichen die Preise von 30 bis 230 % um den Mittelwert. Die grosse Unsicherheit im Marktpreis spiegelt sich dabei nicht nur in der Kalkulation von Prototypen, sondern auch bei der Anfrage grosser Stückzahlen, ähnlich einer Serienproduktion wider.
Der Vergleich der Marktpreise über eine Angebotsabfrage zeichnet jedoch nur ein sehr begrenztes Bild der tatsächlichen Kosten. Zum einen werden Preise der Nachbearbeitung speziell im Fall der Prototypenanfrage grob abgeschätzt und spiegeln somit selten den realen Fall hinsichtlich Kosten und Qualitätsanforderung wider. Zum anderen werden Kosten für eine Qualifizierung der Anlagentechnik und die Qualitätssicherung meist weitestgehend ausser Acht gelassen. Wenn eine Make-or-Buy-Entscheidung getroffen werden soll, müssen jedoch die Kosten entlang der gesamten Prozesskette inklusive der Nachbearbeitung und Qualifizierungs- und Qualitätssicherungskosten transparent gemacht und von den Entscheidungsträgern berücksichtigt werden.
Es kommt auf die Auslastung an
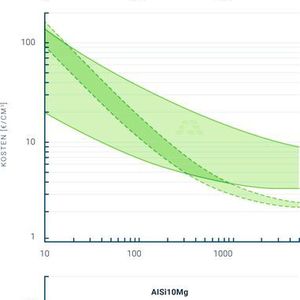
Die Formel der Kostenberechnung ist komplex und von vielen Parametern abhängig. Durch schwankende Aufbauraten ist eine zuverlässige Berechnung der Fertigungszeit und somit der Fertigungskosten immer erst nach einem erstmals durchgeführten Baujob möglich. Oft ist es jedoch notwendig und sinnvoll, die Fertigungskosten vorab abschätzen zu können. Als wesentlicher Einflussfaktor wurde für die folgende Kostenabschätzung das Baujobvolumen identifiziert. Alle anderen variablen Parameter wurden durch obere und untere Grenzwerte ersetzt. Wie zu erwarten, sinken die Baukosten pro cm3 mit steigender Auslastung des Bauraums. Ab etwa 2000 cm3 nähern sich die Kosten einem Minimum an. Also führt eine möglichst hohe Auslastung des Bauraums zu geringeren Stückkosten.
Dieser Auslastungsfaktor spielt auch bei den Preisen der Dienstleister eine wichtige Rolle. Üblicherweise können neben den eigenen Bauteilen auch weitere Teile anderer Kunden in demselben Baujob gefertigt werden. Daher können Dienstleister bei geringen Beauftragungsvolumen häufig deutlich günstiger fertigen als eine interne Fertigung. Dies gilt jedoch nur bis zu einem Baujobvolumen von 100 bis 500 cm3, je nach Material. Von da an spielt die Maschinenauslastung eine untergeordnete Rolle, wodurch Marge und Overhead des Dienstleisters an Einfluss gewinnen.
3D-Druck
Mit neuer Legierung sichere Stahl-Produkte in 3D drucken
Auffallend ist bei den derzeitigen Marktpreisen die grosse Spanne vom günstigsten bis zum teuersten Anbieter. Weder Anfragen nach Prototypenbauteilen noch nach Serienbauteilen mit grösseren Stückzahlen und langen Laufzeiten haben Einfluss darauf. So unterscheiden sich offensichtlich die Kalkulationsmodelle trotz eindeutiger Einflussfaktoren in der Fertigung deutlich voneinander. Daher rät Ampower, mehrere Angebote einzuholen.
Der Lieblingswerkstoff der Dienstleister ist Aluminium
Aus Sicht der Dienstleister lohnt sich derzeit am ehesten die Fertigung von Bauteilen aus Aluminium. Denn es bietet derzeit die grössten Margen auf dem Lieferantenmarkt, während Edelstahl deutlich niedrigere erzielt. Ein Grund hierfür liegt darin, dass Edelstahl auf deutlich günstigeren Anlagen ohne speziellen Explosionsschutz, der bei Aluminium und Titan notwendig ist, gefertigt werden kann. Zudem ist Edelstahl einer der Standardwerkstoffe der Additiven Fertigung und somit der Konkurrenzdruck hier am höchsten.
Know-how als entscheidender Faktor
Die Entscheidung, ob Sie Ihre AM-Produktion auslagern sollten, basiert auf zahlreichen Faktoren. Die meisten von ihnen beziehen sich auf unternehmensstrategische Entscheidungen, die nicht verallgemeinert werden können. Ein wesentlicher Faktor ist beispielsweise der Aufbau von Know-how in Design beziehungsweise AM-gerechter Konstruktion und Fertigung. So ist es nur mit direktem Maschinenzugang möglich, den Einfluss unterschiedlicher Bauteilgeometrien auf den Aufbau und die Supportgestaltung zu erkennen. Ohne direktes Feedback der Fertigung bleibt das Bauteildesign weit hinter seinen Möglichkeiten zurück.
Wendet man das zuvor eingeführte Kostenmodell auf eine jährliche Produktionskapazität an, können Sie abschätzen, ab welchen Produktionsmengen eine interne Fertigung rein aus Kostensicht sinnvoll wird. Die Break-Even-Berechnung setzt jährliche Fixkosten von 300.000 Euro für eine mittelgrosse Doppellasermaschine, die Aufstellfläche, das Personal und die Infrastruktur voraus. Mit zunehmendem jährlichen Produktionsvolumen wird die Investition in interne AM-Kapazitäten attraktiver. Für Aluminium macht eine interne Fertigung ab rund 125 kg pro Jahr Sinn. Bei Edelstahl hingegen wird der Break-Even erst bei etwa 420 kg pro Jahr erreicht.
Es sollte jedoch stets bedacht werden, dass mangelndes Wissen eines der grössten Hindernisse für eine erfolgreiche AM-Implementierung ist. Nur bei innerbetrieblicher Maschinenkapazität kann dieses Wissen vollständig erworben werden. Insofern spricht vieles für eine eigene Fertigungsanlage.
Die Fragen, die sich Sie Stellen sollten, sind also:
- Kann ich den Bauraum voll auslasten?
- Welches Material werde ich in welchen Mengen verwenden?
- Muss ich das Know-how in meinem Unternehmen erst noch aufbauen?
- Wie hoch sind die Fixkosten?
Hier lohnt sich der Auftragsfertiger
Gerade zu Beginn der Aktivitäten, wenn eine Vielzahl von Anwendungen noch nicht vollständig identifiziert sind, macht jedoch die Fertigung bei Dienstleistern Sinn. Auch wenn neben Standardprodukten noch Sonderanfertigungen produziert werden, kann ein qualifizierter Dienstleister sinnvoll sein, um die interne, aufwendig qualifizierte Serienfertigung nicht durch Sonderbauteile zu stören. Dies ist zum Beispiel in der Medizintechnik gängige Praxis, wo Serienbauteile intern gefertigt werden, während individuelle Sonderanfertigungen bei Dienstleistern gefertigt werden.
Dieser Artikel ist zuerst auf unserem Partnerportal maschinenmarkt.vogel.de
* Matthias Schmidt-Lehr ist Mitgründer und geschäftsführender Gesellschafter bei Ampower in 21075 Hamburg, Tel. (040) 9 99 99-5 78, info@am-power.de
(ID:45288264)
